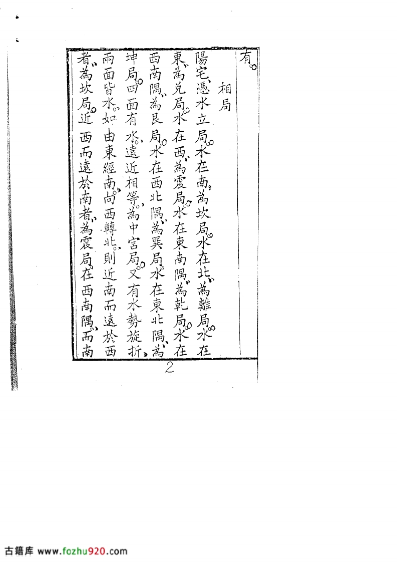
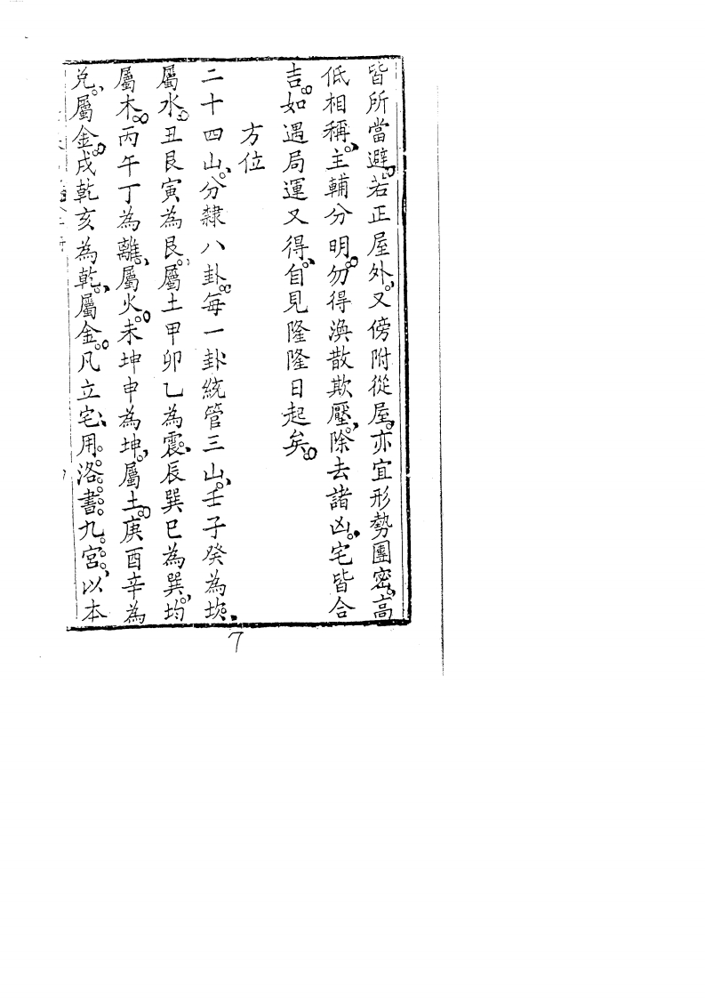
陈龙羽-宅法距离sishuge6个月前发布关注私信2.86MB70页04711陈龙羽-宅法距离此内容为付费资源,请付费后查看¥5¥10VIP会员免费钻石会员免费立即购买您当前未登录!建议登陆后购买,可保存购买订单付费资源 第1页 / 共70页 第2页 / 共70页 第3页 / 共70页 第4页 / 共70页 第5页 / 共70页 第6页 / 共70页 第7页 / 共70页 第8页 / 共70页 试读已结束,还剩62页,您可下载完整版后进行离线阅读 © 版权声明文章版权归作者所有,未经允许请勿转载。THE END五术专题 文本预览 则有衰有证空則氣通通水作法倩此平陽得宜坐環過宜來宜朝水去立四维宅术正宅四维号四正局立四连生康南為交一遇逍揭便作止辨明來止二氣洛赌隆地则愚行路市中則察街衡历宅得一侯房衰旺有烈此皆就得术之地言九北岩山尽则想氣不精若前進之左後進之左收氣有變关一宅分用一水而局真氣纯若在幽隅桂角立宅正中宫收有水界是心立宅或向水背水左古街水想以事而检亦然更或前後相兼則為氣局是水離二朽英西之水相距道均節為及局如雨术相雄以合媒3 查看更多 收起部分 喜欢就支持一下吧点赞11 分享QQ空间微博QQ好友海报分享复制链接收藏
暂无评论内容