

第1页 / 共99页

第2页 / 共99页

第3页 / 共99页

第4页 / 共99页

第5页 / 共99页

第6页 / 共99页

第7页 / 共99页

第8页 / 共99页
试读已结束,还剩91页,您可下载完整版后进行离线阅读
© 版权声明
文章版权归作者所有,未经允许请勿转载。
THE END
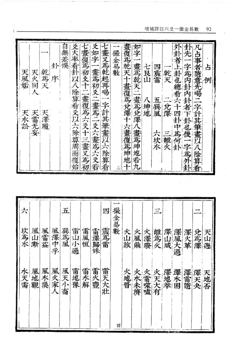
增補詳註六爻一撮金易数92自無差误一振金易數占天風垢天火同乾為天卦序七艮山四震雷笑地叠二允擇天水證天雷无妄天澤雁交大率看卦以人除算看交以六除算周而復始七盡復為初文十二畫復為六文十三畫又為初交如字一畫為初又二畫為二文六畫為六文若七畫又為乾起再喝一字計其筆畫以六除算看畫復為乾天十畫復為澤十六畫復為坤地十如字一盡為彰天二盡為免澤人豐為坤地若九外卦者上卦也總看六十四卦中為何卦六块水三雕火卦先一字為内卦内卦者下卦也後一字為外卦凡占事者隨意先喝二字計其筆盡以八除算看三五四提金易數三坎為水風山断風雷益風澤中乎異為風雷山小過雷風恒雷漯歸妹震為雷火山旅火風鼎火澤膠離為火澤山咸澤風大過澤火革免為澤天山選水天需風地觀風水溪風火家人風天小畜雷地豫雷水解雷火豐雷天大壯火地骨鑫火天大有辈澤雷證擇天夫天地否四
暂无评论内容