

第1页 / 共22页

第2页 / 共22页

第3页 / 共22页

第4页 / 共22页

第5页 / 共22页

第6页 / 共22页

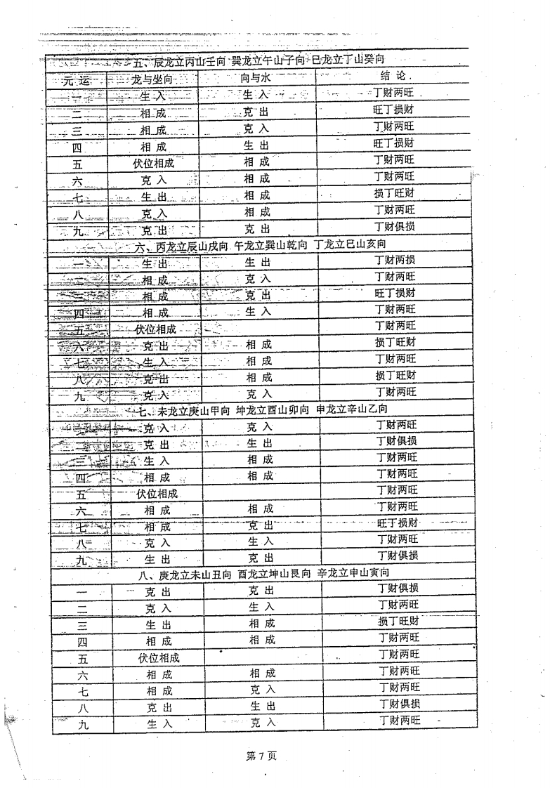
第7页 / 共22页

第8页 / 共22页
试读已结束,还剩14页,您可下载完整版后进行离线阅读
© 版权声明
文章版权归作者所有,未经允许请勿转载。
THE END
杨公镇山诀古传天星天机立配图第一层:替卦起例亚第二层:二十四山第三层:河洛龙水盖旦¥单交配图2。第四层:四局水法图出“第五层:正零点位阴阳对卦图、N概骨此为龙配座、向配您水,合河洛之数一六、十、金孩胺恒武武世三七、三八、四九、之亥子配互成合数收兼零堂生气,阴阳对正错分吉凶大“乾祸福之图。中死死河洛根源器g诀日:江东÷卦灰来言,寺八神四个江西二卦排龙位八神四个二。南北代神共一卦端的应无差。洛书一六、二七、三八、四九、相配为四个,为四大局,如一名龙入首配六百坐缸向永四九相配,向配水龙配座山为一卦之用,成四个二,此为风水之根源,离此道定出偏莹。论三卦诀白:二十四龙管三卦,二十四龙不出三卦册二父母坎离震兑四生四旺乾艮巽坤四生四墓而南北东西阴阳会合之情,尽于此矣,三卦者天地人,四旺子午卯西,四生寞申已亥,四墓辰戌丑天孩乾未。生者为人元,旺者为天元,墓者为地元。龙地地第1页古籍库www.fozhu920.com
暂无评论内容